Какие целые числа заключены между числами 4.8

Между какими последовательными натуральными числами заключено. Какое число заключено между числами. Какие целые числа заключены между числами 4. Между какими числами заключено число 58. Целое число это какое.
Между какими последовательными натуральными числами заключено. Какое число заключено между числами. Какие целые числа заключены между числами 4. Между какими числами заключено число 58. Целое число это какое.
8. Какие целые числа заключены между числами 4. Между какими числа зкключо число. Как вычислять целые числа. Между какими числа зкключо число.
8. Какие целые числа заключены между числами 4. Между какими числа зкключо число. Как вычислять целые числа. Между какими числа зкключо число.
Заключение между числами. 8. Между какими числа зкключо число. Как найти какое число заключено между числами. Целое число.
Заключение между числами. 8. Между какими числа зкключо число. Как найти какое число заключено между числами. Целое число.
Между какими числами заключено число -4/3. Между какими числа зкключо число. 8. Целые неположительные числа. 8.
Между какими числами заключено число -4/3. Между какими числа зкключо число. 8. Целые неположительные числа. 8.
Какое из чисел заключено между числами. Между какими числа зкключо число. Какое число заключено между числами. Заключено между числами. 8.
Какое из чисел заключено между числами. Между какими числа зкключо число. Какое число заключено между числами. Заключено между числами. 8.
Какое из следующих чисел заключено. Какие целые числа заключены между числами 4. Какие целые числа заключены между числами 4. 8. Между какими ближайшими целыми числами заключено число.
Какое из следующих чисел заключено. Какие целые числа заключены между числами 4. Какие целые числа заключены между числами 4. 8. Между какими ближайшими целыми числами заключено число.
Между какими целыми числами заключено число 124/15. Между какими числа зкключо число. 8. Между какими целыми числами. Какое из следующих чисел заключено между числами.
Между какими целыми числами заключено число 124/15. Между какими числа зкключо число. 8. Между какими целыми числами. Какое из следующих чисел заключено между числами.
Между какими числами заключено число корень из 58. 8. Между какими натуральными числами заключено число. Между какими числа зкключо число. Между какими целыми числами заключено число.
Между какими числами заключено число корень из 58. 8. Между какими натуральными числами заключено число. Между какими числа зкключо число. Между какими целыми числами заключено число.
Какие целые числа заключены между числами -3. Между какими числами заключено число корень 27. Какие целые числа заключены между числами. Как понять какое число заключено между числами. Какие целые числа заключены между числами 4.
Какие целые числа заключены между числами -3. Между какими числами заключено число корень 27. Какие целые числа заключены между числами. Как понять какое число заключено между числами. Какие целые числа заключены между числами 4.
Какие целые числа заключены между числами 4. Между какими последовательными натуральными числами заключена дробь. Между какими целыми числами заключено число. Какое число заключено между числами. Какие целые числа заключены между числами 4.
Какие целые числа заключены между числами 4. Между какими последовательными натуральными числами заключена дробь. Между какими целыми числами заключено число. Какое число заключено между числами. Какие целые числа заключены между числами 4.
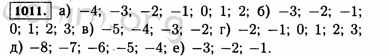
Как узнать между какими числами заключено число. Какие целые числа заключены между числами. Математика 6 класс виленкин номер 1011. -3 это целое число. Какое из следующих чисел заключено между числами.
Как узнать между какими числами заключено число. Какие целые числа заключены между числами. Математика 6 класс виленкин номер 1011. -3 это целое число. Какое из следующих чисел заключено между числами.
Определите между какими натуральными числами заключено число 3 260. Какие целые числа заключены между числами 4. Между какими целыми числами заключено число. Какие целые числа заключены между числами 4. Как указать какое нибудь рациональных числа лежащих между числами.
Определите между какими натуральными числами заключено число 3 260. Какие целые числа заключены между числами 4. Между какими целыми числами заключено число. Какие целые числа заключены между числами 4. Как указать какое нибудь рациональных числа лежащих между числами.
Между какими целыми числами. 2 и 5. Между какими целыми числами заключено. 8. Между какими числами.
Между какими целыми числами. 2 и 5. Между какими целыми числами заключено. 8. Между какими числами.
Математика 6 класс никольский номер 1011. Какие целые числа заключены между. 8. Число заключенное между числами. Какие целые числа заключены между числами.
Математика 6 класс никольский номер 1011. Какие целые числа заключены между. 8. Число заключенное между числами. Какие целые числа заключены между числами.
Какое из чисел заключено между числами. Какие целые числа заключены между числами. Какие целые числа заключены между. Гдз по математике 6 класс номер 1011. Между какими числами заключено число корень.
Какое из чисел заключено между числами. Какие целые числа заключены между числами. Какие целые числа заключены между. Гдз по математике 6 класс номер 1011. Между какими числами заключено число корень.
Число заключенное между числами. 8. Вычислить целые числа. Какие целые числа заключены между числами 4. Между какими числа зкключо число.
Число заключенное между числами. 8. Вычислить целые числа. Какие целые числа заключены между числами 4. Между какими числа зкключо число.
Какие целые числа заключены между числами 4. 8. Между какими числами заключено число корень 62. Целые числа между -3 и 2. Какие целые числа заключены между числами 4.
Какие целые числа заключены между числами 4. 8. Между какими числами заключено число корень 62. Целые числа между -3 и 2. Какие целые числа заключены между числами 4.
8. 8. Какое из следующих чисел заключено. Какие целые числа заключены между числами 4. Какие целые числа заключены между числами 4.
8. 8. Какое из следующих чисел заключено. Какие целые числа заключены между числами 4. Какие целые числа заключены между числами 4.
8. Между какими натуральными числами заключено число. Какие целые числа заключены между числами 4. Какие целые числа заключены между числами 4. 8.
8. Между какими натуральными числами заключено число. Какие целые числа заключены между числами 4. Какие целые числа заключены между числами 4. 8.
4/3 в целое число. Какое число заключено между числами. Номер 1011 по математике 5 класс. Какие целые числа заключены между числами 4. Между какими числами заключено число корень.
4/3 в целое число. Какое число заключено между числами. Номер 1011 по математике 5 класс. Какие целые числа заключены между числами 4. Между какими числами заключено число корень.